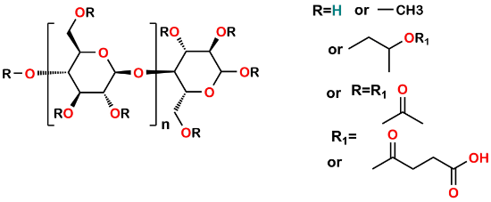
Chemical Name: Hydroxypropyl Methylcellulose Acetate Succinate
Synonym: 2-Hydroxypropyl methyl cellulose acetate succinate
Smile: [R]O[C@@H]1[C@@H](CO[R])O[C@@H](O[C@@H]2[C@@H](CO[R])OC(O[R])[C@H](O[R])[C@H]2O[R])[C@H](O[R])[C@H]1O[R].CC.CCC(C)O[R1].[R]=[R1].CC(C)=O.CC(CCC(O)=O)=O
Hypromellose Acetate Succinate
CAT No::VS-H030001
CAS No:71138-97-1
Mol.Wt.:NA
Mol.Wt.:NA
Status:Custom Synthesis
Need a Quick Quote for  Hypromellose Acetate Succinate?

Related Products

Hypromellose

CAT No: VS-H030000
CAS No: 9004-65-3
Mol.F.: NA
Mol.Wt.: NA
Status: Custom Synthesis